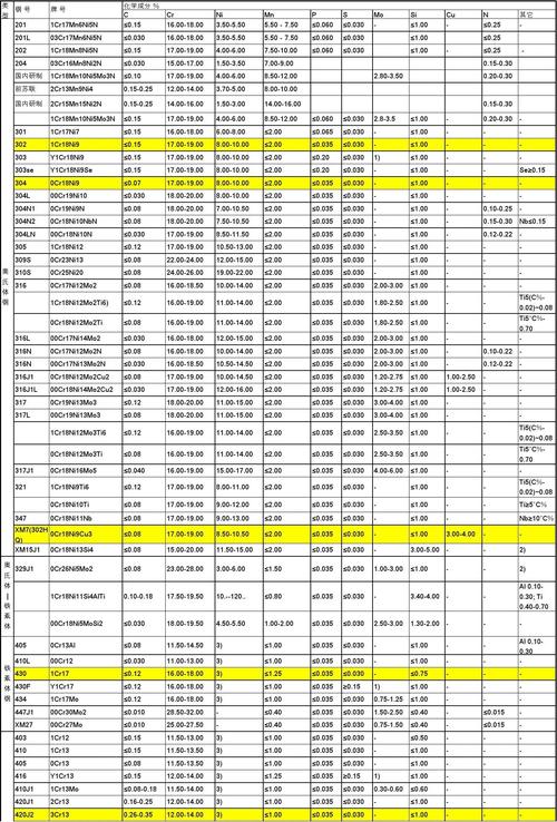
不锈钢牌号(316不锈钢牌号)

常用不锈钢牌号有什么?
牌号类型用途
1Cr18Ni9Ti奥氏体型使用更广泛,适用于食品、化工、医药、原子能工业
0Cr25Ni20奥氏体型炉用材料,汽车排气净化装置用材料
1Cr18Ni9奥氏体型经冷加工有高的强度,建筑用装饰部件
0Cr18Ni9奥氏体型作为不锈耐热钢使用更广泛、食品用设备,一般化工设备,原子能工业用
00Cr19Ni10奥氏体型用于抗晶间腐蚀性要求高的化学、煤炭、石油产业的野外露天机器、建材、耐热零件及热处理有困难的零件
0Cr17Ni12Mo2奥氏体型适用于在海水和其它介质中,主要作耐点蚀材料,照相、食品工业、沿海地区设施、绳索、CD杆、螺栓、螺母
00Cr17Ni14Mo2奥氏体型为0Cr17Ni12Mo2的超低碳钢,用于对抗晶间腐蚀性有特别要求的产品
1Cr18Ni12Mo2Ti奥氏体型用于抗硫酸、磷酸、甲酸、乙酸的设备,有良好的耐晶间腐蚀性
0Cr18Ni12Mo2Ti奥氏体型同上
0Cr18Ni10Ti奥氏体型添加Ti提高耐晶间腐蚀,不推荐作装饰部件
0Cr16Ni14奥氏体型无磁不锈钢,作电子原件
0-1Cr20Ni14Si2奥氏体型
具有较高的高温强度及抗氧化性,对含硫气氛较敏感,在600-800℃有析出相的脆化倾向,适用于制作承受应力的各种炉用构件
1Cr17Ni7奥氏体型适用于高强度构件,火车客车车厢用材料
00Cr18Ni5Mo3Si2奥氏体型+铁素体
耐应力腐蚀破裂性能良好,具有较高的强度,适用于含氯离子的环境,用于炼油、化肥、造纸、石油、化工等工业,制造热交换器、冷凝器等
0Cr17(Ti)铁素体型用于洗衣机内桶冲压件,装饰用
00Cr12Ti铁素体型用于汽车消音器管,装饰用
0Cr13Al铁素体型从高温下冷却不产生显著硬化,汽轮材料,淬火用部件,复合钢材
1Cr17铁素体型耐蚀性良好的通用钢种,建筑内装饰用,重油燃烧部件,用于家庭用具,家用电器部件
0Cr13铁素体型作较高韧性及受冲击负荷的零件,如汽轮叶片,结构架,螺栓,螺帽等
1Cr13马氏体型具有良好的耐蚀性,机械加工性,用作一般用途、刀刃机械零件、石油精炼装置、螺栓、螺母、泵杆、餐具等
2Cr13马氏体型淬火状态下硬度高,耐蚀性良好,作汽轮机叶片,餐具(刀)
不锈钢的耐蚀性能
一、腐蚀的种类和定义
一种不锈钢可在许多介质中具有良好的耐蚀性,但在另外某种介质中,却可能因化学稳定性低而发生腐蚀。所以说,一种不锈钢不可能对所有介质都耐蚀。
在众多的工业用途中,不锈钢都能提供今人满意的耐蚀性能。根据使用的经验来看,除机械失效外,不锈钢的腐蚀主要表现在:不锈钢的一种严重的腐蚀形式是局部腐蚀(亦即应力腐蚀开裂、点腐蚀、晶间腐蚀、腐蚀疲劳以及缝隙腐蚀)。这些局部腐蚀所导致的失效事例几乎占失效事例的一半以上。事实上,很多失效事故是可以通过合理的选材而予以避免的。
金属的腐蚀,按机理可分为特理腐蚀、化学腐蚀与电化学腐蚀三种。生活实际、工程实际中的金属腐蚀,绝大多数都属于电化学腐蚀。
应力腐蚀开裂(SCC):是指承受应力的合金在腐蚀性环境中由于烈纹的扩展而互生失效的一种通用术语。应力腐蚀开裂具有脆性断口形貌,但它也可能发生于韧性高的材料中。发生应力腐蚀开裂的必要条件是要有拉应力(不论是残余应力还是外加应力,或者两者兼而有之)和特定的腐蚀介质存在。型纹的形成和扩展大致与拉应力方向垂直。这个导致应力腐蚀开裂的应力值,要比没有腐蚀介质存在时材料断裂所需要的应力值小得多。在微观上,穿过晶粒的裂纹称为穿晶裂纹,而沿晶界扩图的裂纹称为沿晶裂纹,当应力腐蚀开裂扩展至其一深度时(此处,承受载荷的材料断面上的应力达到它在空气中的断裂应力),则材料就按正常的裂纹(在韧性材料中,通常是通过显微缺陷的聚合)而断开。因此,由于应力腐蚀开裂而失效的零件的断面,将包含有应力腐蚀开裂的特征区域以及与已微缺陷的聚合相联系的“韧窝”区域。
点腐蚀:点腐蚀是指在金属材料表面大部分不腐蚀或腐蚀轻微而分散发生高度的局部腐蚀,常见蚀点的尺寸小于1.00mm,深度往往大于表面孔径,轻者有较浅的蚀坑,严重的甚至形成穿孔。
晶间腐蚀:晶粒间界是结晶学取向不同的晶粒间紊乱错合的界城,因而,它们是钢中各种溶质元素偏析或金属化合物(如碳化物和δ相)沉淀析出的有利区城。因此,在某些腐蚀介质中,晶粒间界可能先行被腐蚀乃是不足为奇的。这种类型的腐蚀被称为晶间腐蚀,大多数的金属和合金在特定的腐蚀介质中都可能呈现晶间腐蚀。晶间腐蚀是一种有选择性的腐蚀破坏,它与一般选择性腐蚀不同之处在于,腐蚀的局部性是显微尺度的,而宏观上不一定是局部的。
缝隙腐蚀:是指在金属构件缝隙处发生斑点状或溃疡形的宏观蚀坑,是局部腐蚀的一种形式,它可能发全于溶液停滞的缝隙之中或屏蔽的表面内。这样的缝隙可以在金属与金属或金属与非金属的接合处形成,例如,在与铆钉、螺栓、垫片、阀座、松动的表面沉积物以及海生物相接烛之处形成。
全面腐蚀:是用来描述在整个合金表面上以比较均勺的方式所发生的腐蚀现象的术语。当发生全面腐蚀时,村料由于腐蚀而逐渐变薄,甚至材料腐蚀失效。不锈钢在强酸和强碱中可能呈现全面腐蚀。全面腐蚀所引起的失效问题并不怎么令人担心,因为,这种腐蚀通常可以通过简单的浸泡试验或查阅腐蚀方面的文献资料而预测它。
均匀腐蚀:是指接触腐蚀介质的金属表面全部产生腐蚀的现象。根据不同的使用情况对耐蚀提出不同的指标要求,一般可分为两大类:
1.不锈钢
指在大气及弱腐蚀介质中耐蚀的钢。腐蚀速率小于0.01mm/年的,认为是"完全耐蚀";腐蚀速率小于0.1mm/年的,认为是"耐蚀"的。
2.耐蚀钢指在各种强烈腐蚀介质中能耐蚀的钢。
二、各种不锈钢的耐腐蚀性能
304是一种通用性的不锈钢,它广泛地用于制作要求良好综合性能(耐腐蚀和成型性)的设备和机件。
301不锈钢在形变时呈现出明显的加工硬化现象,被用于要求较高强度的各种场合。
302不锈钢实质上就是含碳量更高的304不锈钢的变种,通过冷轧可使其获得较高的强度。
302B是一种含硅量较高的不锈钢,它具有较高的抗高温氧化性能。
303和303Se
是分别含有硫和硒的易切削不锈钢,用于主要要求易切削和表而光浩度高的场合。303Se不锈钢也用于制作需要热镦的机件,因为在这类条件下,这种不锈钢具有良好的可热加工性。
是碳含量较低的304不锈钢的变种,用于需要焊接的场合。较低的碳含量使得在靠近焊缝的热影响区中所析出的碳化物减至更少,而碳化物的析出可能导致不锈钢在某些环境中产生晶间腐蚀(焊接侵蚀)。
304N是一种含氮的不锈钢,加氮是为了提高钢的强度。
305和384不锈钢含有较高的镍,其加工硬化率低,适用于对冷成型性要求高的各种场合。
308不锈钢用于制作焊条。
309、310、314及330
不锈钢的镍、铬含量都比较高,为的是提高钢在高温下的抗氧化性能和蠕变强度。而30S5和310S乃是309和310不锈钢的变种,所不同者只是碳含量较低,为的是使焊缝附近所析出的碳化物减至更少。330不锈钢有着特别高的抗渗碳能力和抗热震性。
316和317
型不锈钢含有铝,因而在海洋和化学工业环境中的抗点腐蚀能力大大地优于304不锈钢。其中,316型不锈钢由变种包括低碳不锈钢316L、含氮的高强度不锈钢316N以及合硫量较高的易切削不锈钢316F。
321、347及348
是分别以钛,铌加钽、铌稳定化的不锈钢,适宜作高温下使用的焊接构件。348是一种适用于核动力工业的不锈钢,对钽和钻的合量有着一定的限制。
三、不锈钢遭腐蚀的原因
更近英国科学家的一项研究表明,不锈钢里微小的硫化锰高浓度区域能导致不锈钢锈蚀。
不锈钢是铁、铬和镍的合金,更早出现在20世纪初。由于不锈钢具有优异的抗腐蚀特性,因而它常常被用在恶劣的工作环境下,或者用来制造餐具和医疗用具。
不锈钢的腐蚀速率非常之慢,在理想情况下每100万年才能腐蚀1厘米。但是在实际应用中,腐蚀往往在某处产生和扩大,更终导致整块不锈钢的腐蚀。
此前有很多理论认为不锈钢中的杂质导致了腐蚀,但是对于腐蚀发生的具体机制还不很清楚。在更新一期的英国《自然》杂志上,一个英国研究小组报告了他们对于不锈钢腐蚀过程的研究成果。他们发现不锈钢中微小的硫化锰高浓度区域是导致不锈钢腐蚀的元凶。
腐蚀发生处并不是随机的,它们总是产生在小块硫化锰周围几百纳米的区域。科学家的研究表明,在不锈钢制造过程中,硫化锰在局部产生高浓度的聚集,导致在其周围区域中铬元素浓度的降低。铬元素和氧气反应产生铬的氧化物能够起到防止腐蚀的作用。低浓度的铬区域更先产生腐蚀,然后腐蚀会逐步扩大到整块不锈钢。在含有盐的水中,这个过程会变得更加迅速。
不锈钢的特性
1.一般特性
◆表面美观以及使用可能性多样化
◆耐腐蚀性能好,比普通钢长久耐用
◆强度高,因而薄板使用的可能性大
◆耐高温氧化及强度高,因此能够抗火灾
◆常温加工,即容易塑性加工
◆因为不必表面处理,所以简便、维护简单
◆清洁,光洁度高
◆焊接性能好
2、品质特性
2-1不锈钢的品质特性
项目基本组织
代表钢种STS304STS430STS410
热处理固融化热处理退火退火后急冷
硬度性加工硬化性微量硬化性小量硬化性
主要用途建筑物内外装饰,厨房用具,化学刻度,航空机器建筑材料,汽车零件,加用电器,厨房器具,饭盒等钎、刀机器零部件,医院用具,手术用具
耐腐蚀性高高中
强度高中高
加工性高中高
磁性非磁上磁性上磁性
焊接性高中低
2-2不锈钢的品质特性要求
用途对象产品加工工艺要求品质特性
表面质量BQ性材质形状厚度公差焊接性耐腐蚀性
浅加工类刀、叉等落料→横延→切头→成型→抛光→清洗→包装要求高不得有麻点等缺陷好一般材一般-5%不要求好
深加工类二类餐具、保温杯等落料→涂油→成型→(有时几次)切边→卷边→清洗→复底→抛光→焊手柄→包装要求高不得有划伤折痕等缺陷好DDQ要求高-3~-5%好好
PIPE装饰管等窄带→挤成压成型→对焊→打磨焊缝→切管→磨口→抛光→包装要求高不得有折痕等缺陷一般一般材好-8%好一般
厨具冷柜等的外壁落料→折边→电焊→打磨要求高不得有折痕等缺陷一般一般材一般-8%好一般
容器热水器饮水机内胆窄带→卷筒→焊接→切管→焊底→打磨焊缝→包装一般一般一般材一般-10%好一般
※各产品由于用途的不同,其加工工艺和原料的品质要求也不同。
2-3品质要求特性微细项目
(1)材质:
①DDQ(deepdrawing
quality)材:是指用于深拉(冲)用途的材料,也就是大家所说的的软料,这种材料的主要特点是延伸率较高(≧53%),硬度较低(≦170%),内部晶粒等级在7.0~8.0之间,深冲性能**。目前许多生产保温瓶、锅类的企业,其产品的加工比(BLANKING
SIZE/制品直径)一般都比较高,它们的加工比分别达3.0、1.96、2.13、1.98。SUS304
DDQ用材主要就是用于这些要求较高加工比的产品,当然加工比超过2.0的产品一般都需经过几道次的拉伸才能完成。如果原料延伸方面达不到的话,在加工深拉制品时产品极易产生裂纹、拉穿的现象,影响成品合格率,当然也就加大了厂家的成本;
②一般材主要用于除了DDQ用途外的材料,这种材料的特点是延伸率相对较低(≧45%),而硬度相对较高(≦180),内部晶粒度等级在8.0~9.0间,与DDQ用材比较,它的深冲性能相对稍差,它主要用于不需伸拉就能得到的制品,象一类餐具的勺、匙、叉、电器用具、钢管用途等。但它与DDQ材相比有一个优点,就是BQ性相对较好,这主要是由于它的硬度稍高的缘故。
(2)表面品质:
不锈钢薄板是一种价格非常高的材料,客户对它的表面质量要求也非常高。但不锈薄板在生产过程中不可避免会出现各种缺陷,如划伤、麻点、折痕、污染等,从而其表面质量,象划伤、折痕等这些缺陷不管是**材还是低级都不允许出现,而麻点这种缺陷在勺、匙、叉、制作时也是决不允许的,因为抛光时很难抛掉它。我们根据表面各种缺陷出现的程度和频率,来确定其表质量等级,从而来确定产品等级。
(3)厚度公差:
一般来说不锈钢制品的不同,其要求原料厚度公差也各不相同,象二类餐具和保温杯等,厚度公差一般要求较高,为-3~5%,而一类餐具厚度公差一般要求-5%,钢管类要求-10%,宾馆用冷柜用材厚度公差要求为-8%,经销商对厚度公差的要求一般在-4%~6%间。同时产品内外销的不同也会导致客户对原料厚度公差要求的不同。一般出口产品客户的厚度公差要求较高,而内销企业对厚度公差要求相对较低(大多出于成本方面考虑),部分客户甚至要求-15%。
(4)焊接性:
产品用途的不同对焊接性能的要求也是各不相同。一类餐具对焊接性能一般不做要求,甚至包括部分锅类企业。但是绝大多数产品都需要原料焊接性能好,象二类餐具、保温杯、钢管、热水器、饮水机等。
(5)耐腐蚀性:
绝大多数不锈钢制品要求耐腐蚀性能好,象一、二类餐具、厨具、热水器、饮水机等,有些国外商人对产品还做耐腐蚀性能试验:用NACL水溶液加温到沸腾,一段时间后倒掉溶液,洗净烘干,称重量损失,来确定受腐蚀程度(注意:产品抛光时,因砂布或砂纸中含有Fe的成分,会导致测试时表面出现锈斑)
(6)抛光性能(BQ性):
目前不锈钢制品在生产时一般都经过抛光这一工序,只有少数制品如热水器、饮水机内胆等不需要抛光。因此这就要求原料的抛光性能很好。影响抛光性能的因素主要有以下几点:
①原料表面缺陷。如划伤、麻点、过酸洗等。
②原料材质问题。硬度太低,抛光时就不易抛亮(BQ性不好),而且硬度太低,在深拉伸时表面易出现桔皮现象,从而影响BQ性。硬度高的BQ性相对就好。
③经过深拉伸的制品,变形量极大的区域表面也会出小的黑点和RIDGING,从而影响BQ性。
360doc:

不锈钢牌号的分类
原发布者:ppzbc11220Cr18Ni9使用更广泛,用于食品用设备,一般。通俗的讲0Cr18Ni9就是0Cr18Ni9Ti就是321,一个是国标,一个是。321是因为原来冶炼技术不好,无法降低碳含量才研制的,现在因冶炼技术的提高,超冶炼已经很平常,所以321有被淘汰的趋势。目前321的产量已经很少了。只有一些军工还在使用。0Cr18Ni9钢(AISI304)是,是在更初发明的18-8型奥氏体不锈钢的基础上发展演变的,该钢是不锈钢的主体钢种,其产量约占不锈钢总产量曲30%以上。由于此钢具有奥氏体结构,它不可能通过热处理手段予以强化,只能采用方式达到提高强度的目的。钢的奥氏体结构赋予了它的良好冷、性能、无磁性和好的。0Cr18Ni9钢薄截面尺寸的焊接件具有足够的耐,在碱溶液和大部分有机酸和中以及大气、水、蒸汽中耐蚀性亦佳。0Cr18Ni9钢的良好性能,使其成为应用量更大、使用范围更广的不锈钢牌号,此钢适于制造深冲成型的部件以及输送等,0Cr18Ni9亦可用子制造无磁、0Cr19Ni10(AISI304L)是在0Cr18Ni9基础上,通过降低碳和稍许提高含镍量的超低碳型奥氏体不锈钢。此钢是为了解决因Cr23C6析出致使0Cr18Ni9钢在一些条件下存在严重的晶间腐蚀倾向而发展的。在开发初期,因冶金生产降碳较难,一度曾妨碍了它的广泛应用,在2
不锈钢焊条有哪些牌号?
牌号前加“G”(或铬)字表示铬不锈钢 焊条:“A”(或奥)字表示铬镍奥氏体不锈钢焊条。牌号**位 数字表示焊缝金属主要化学成分组成等级。牌号第二位数字表示 同一焊缝金属主要化学成分组成等级中的天同牌号,对同一药皮 类型焊条,可有10个牌号按0, 1,2……9顺序排列。第三位数 字表示药皮类型和电源种类。

不锈钢牌号分组有哪些?
型号 303—通过添加少量的硫、磷使其较304更易切削加工。
型号 304—通用型号;即18/8不锈钢。GB牌号为0CR18NI9。
型号 309—较之304有更好的耐温性。
型号 316—继304之后,第二个得到更广泛应用的钢种,主要用于食品工业和外科手术器材,添加钼元素使其获得一种抗腐蚀的特殊结构。
不锈钢牌号的分类
铁素体型不锈钢
它的内部显微组织为铁素体,其铬的质量分数在11.5%~32.0%范围内。随着铬含量的提高,其耐酸性能也提高,加入钼(Mo)后,则可提高耐酸腐蚀性和抗应力腐蚀的能力。这类不锈钢的**标准牌号有00Cr12、1Cr17、00Cr17Mo、00Cr30Mo2等。
马氏体型不锈钢
它的显微组织为马氏体。这类钢中铬的质量分数为11.5%~18.0%,但碳的质量分数更高可达0.6%。碳含量的增高,提高了钢的强度和硬度。在这类钢中加入的少量镍可以促使生成马氏体,同时又能提高其耐蚀性。这类钢的焊接性较差。列入**标准牌号的钢板有1Cr13、2 Cr13、3 Cr13、1 Cr17Ni2等。
奥氏体型不锈钢
其显微组织为奥氏体。它是在高铬不锈钢中添加适当的镍(镍的质量分数为8%~25%)而形成的,具在奥氏体组织的不锈钢。奥氏体型不锈钢以Cr18Ni19铁基合金为基础,在此基础上随着不同的用途,发展成图1-2所示的铬镍奥氏体不锈钢系列。
奥氏体型不锈钢一般属于耐蚀钢,是应用更广泛的一类钢,其中以18-8型不锈钢更有代表性,它是有较好的力学性能,便于进行机械加工、冲压和焊接。在氧化性环境中具有优良的耐腐蚀性能和良好的耐热性能。但对溶液中含有氯离子(CL-)的介质特别敏感,易于发生应力腐蚀。18-8型不锈钢按其化学成分中碳含量的不同又分为三个等级:一般含碳量(Wc≤0.15%)低碳级
(Wc≤0.08%)和超低碳级(Wc≤0.03%)。例如我国**标准中的1Cr18Ni9Ti、0Cr18Ni9、00Cr17Ni14M02三种钢板分属上面三个等级。世界许多**都感到镍储量的紧缺。为了节省镍,早在四、五十年代世界上就开始用锰和氮取代18-8型不锈钢中的部分镍。研制并列入**标准的钢板牌号有1Cr17Mn6Ni5N和0Cr19Ni9N等。
奥氏体-铁素体型不锈钢
其显微组织为奥氏体加铁素体。铁素体的体积分数小于10%的不锈钢,是在奥氏体钢基础上发展的钢种。
沉淀硬化型不锈钢
按其组织形态可分为三类:沉淀硬化半奥氏体型、沉淀硬化马氏体型和沉淀硬化奥氏体型不锈钢。列入我国**标准钢板牌号的有0Cr17Ni7A、0Cr17Ni4Cu4Nb和0Cr15Ni7M02Al三种,是属于沉淀硬化半奥氏体型不锈钢。该钢的组织特点是在固溶或退火状态时具有奥氏体加体积分数为5%~20%的铁素体组织。这种钢经过系列的热处理或机械变形处理后奥氏体转变为马氏体,再通过时效析出硬化达到所需要的高强度。这种钢有很好的成形性能和良好的焊接性,可作为超高强度的材料在核工业、航空和航天工业中,得到应用。给邮箱地址,发给你《不锈钢实用手册》原发布者:dadadixjtu
不锈钢有以下几种分类:201、202、301、304、316、309、321等是属于奥氏体不锈钢,无磁性;409、430、410等属于马氏体不锈钢,俗称不锈铁,有磁性;其中,304不锈钢使用更为广泛,用于食品用设备,一般化设备,原子能工业设备等。304C≤0.08Ni8.00~10.00Cr18.00~20.00,Mn<=2.0Si<=1.0S<=0.030P<=0.035304LC≤0.03其他的元素与304相同201C≤0.15Ni3.5--4.50Cr16.00~18.00,Mn<=5.5--7.50Si<=1.0S<=0.030P<=0.035202C≤0.15Ni4.0--6.0Cr17.00~19.00,Mn<=7.5--10.0Si<=1.0S<=0.030P<=0.035310S:2520是国标0Cr25Ni20及2Cr25Ni20的统称,0Cr25Ni20对于美标是310S,C≤0.08Ni19.00~22.00Cr24.00~26.00,Mo2.00---3.00Mn<=2.0Si<=1.0S<=0.030P<=0.035。316是美国标准下的牌号,属于不锈、耐热、耐蚀钢,是奥氏体不锈钢,对于国标是0Cr17Ni12Mo2。是比304好的不锈钢,在海水和其他各种介质中,耐腐蚀性比0Cr19Ni9好,主要是耐点蚀材。C≤0.08Ni10.00~14.00Cr16.00~18.00,Mo2.00---3.00Mn<=2.0Si<=1.0S<=0.030P<=0.035。316L不锈钢C≤0.03Ni10.00~14.00Cr16.00~18.00,Mo2.00---3.00Mn<=2.0Si<=1.0S<=0.030P<=0.035。

常用不锈钢牌号有什么?
去百度文库,查看完整内容>
内容来自用户:522768688
常用钢材牌号及用途
我国钢材牌号表示方法概述:
钢的牌号简称钢号,是对每一种具体钢产品所取的名称。我国的钢号表示方法,根据**标准《钢铁产品牌号表示方法》(GB221-79)中规定,采用汉语拼音字母、化学元素符号和阿拉伯数字相结合的方法表示。即:
1)钢号中化学元素采用国际化学符号表示,例如Si、Mn、Cr等。混合稀土元素用RE或Xt表示;
2)产品名称、用途、冶炼和浇注方法等,一般采用汉语拼音的缩写字母表示,见表:
GB标准钢号中所采用的缩写字母及其涵义
名称?汉字?符号?字体?位置
屈服点?屈?Q?大写?头
沸腾钢?沸?F?大写?尾
半镇静钢?半?b?小写?尾
镇静钢?镇?Z?大写?尾
特殊镇静钢?特镇?TZ?大写?尾
氧气转炉(钢)?氧?Y?大写?中
碱性空气转炉(钢)?碱?J?大写?中
易切削钢?易?Y?大写?头
碳素工具钢?碳?T?大写?头
滚动轴承钢?滚?G?大写?头
焊条用钢?焊?H?大写?头
**(优质钢)?高?A?大写?尾
特级?特?E?大写?尾
铆螺钢?铆螺?ML?大写?头
锚链钢?锚?M?大写?头
矿用钢?矿?K?大写?尾
汽车大梁用钢?梁?L?大写?尾
压力容器用钢?容?R?大写?尾
多层或高压容器用钢?高层?gc?小写?尾
铸钢?铸钢?ZG?大写?头
轧辊用铸钢15①钢号冠以字母②在数字后面所加的字母表示电磁性能:7×——优质碳素结构钢弹簧钢08F?60-6不锈钢常用的就是304(06Cr19Ni10)。厨具 餐具,电梯,工业储存罐,酒类罐子,压力容器等等
321(06Cr18Ni10Ti ) 工业锅炉,换热设备,石化化工设备等等
316L (00Cr17Ni12Mo2 ) 工业储存罐 石油 化工石化设备,海水淡化设备等等。
201 标牌,厨具 电梯,地板,装饰等等,
还有就是400系列不锈铁,能接触的主要做刀具的。
主要就这些,其他都是些平时生活接触的少的东西
无锡乐培金属材料有限公司牌号 类型 用途
1Cr18Ni9Ti 奥氏体型 使用更广泛,适用于食品、化工、医药、原子能工业
0Cr25Ni20 奥氏体型 炉用材料,汽车排气净化装置用材料
1Cr18Ni9 奥氏体型 经冷加工有高的强度,建筑用装饰部件
0Cr18Ni9 奥氏体型 作为不锈耐热钢使用更广泛、食品用设备,一般化工设备,原子能工业用
00Cr19Ni10 奥氏体型 用于抗晶间腐蚀性要求高的化学、煤炭、石油产业的野外露天机器、建材、耐热零件及热处理有困难的零件
0Cr17Ni12Mo2 奥氏体型 适用于在海水和其它介质中,主要作耐点蚀材料,照相、食品工业、沿海地区设施、绳索、CD杆、螺栓、螺母
00Cr17Ni14Mo2 奥氏体型 为0Cr17Ni12Mo2的超低碳钢,用于对抗晶间腐蚀性有特别要求的产品
1Cr18Ni12Mo2Ti 奥氏体型 用于抗硫酸、磷酸、甲酸、乙酸的设备,有良好的耐晶间腐蚀性
0Cr18Ni12Mo2Ti 奥氏体型 同上
0Cr18Ni10Ti 奥氏体型 添加Ti提高耐晶间腐蚀,不推荐作装饰部件
0Cr16Ni14 奥氏体型 无磁不锈钢,作电子原件
0-1Cr20Ni14Si2 奥氏体型
具有较高的高温强度及抗氧化性,对含硫气氛较敏感,在600-800℃有析出相的脆化倾向,适用于制作承受应力的各种炉用构件
1Cr17Ni7 奥氏体型 适用于高强度构件,火车客车车厢用材料
00Cr18Ni5Mo3Si2 奥氏体型+铁素体
耐应力腐蚀破裂性能良好,具有较高的强度,适用于含氯离子的环境,用于炼油、化肥、造纸、石油、化工等工业,制造热交换器、冷凝器等
0Cr17(Ti) 铁素体型 用于洗衣机内桶冲压件,装饰用
00Cr12Ti 铁素体型 用于汽车消音器管,装饰用
0Cr13Al 铁素体型 从高温下冷却不产生显著硬化,汽轮材料,淬火用部件,复合钢材
1Cr17 铁素体型 耐蚀性良好的通用钢种,建筑内装饰用,重油燃烧部件,用于家庭用具,家用电器部件
0Cr13 铁素体型 作较高韧性及受冲击负荷的零件,如汽轮叶片,结构架,螺栓,螺帽等
1Cr13 马氏体型 具有良好的耐蚀性,机械加工性,用作一般用途、刀刃机械零件、石油精炼装置、螺栓、螺母、泵杆、餐具等
2Cr13 马氏体型 淬火状态下硬度高,耐蚀性良好,作汽轮机叶片,餐具(刀)
不锈钢的耐蚀性能
一、腐蚀的种类和定义
一种不锈钢可在许多介质中具有良好的耐蚀性,但在另外某种介质中,却可能因化学稳定性低而发生腐蚀。所以说,一种不锈钢不可能对所有介质都耐蚀。
在众多的工业用途中,不锈钢都能提供今人满意的耐蚀性能。根据使用的经验来看,除机械失效外,不锈钢的腐蚀主要表现在:不锈钢的一种严重的腐蚀形式是局部腐蚀(亦即应力腐蚀开裂、点腐蚀、晶间腐蚀、腐蚀疲劳以及缝隙腐蚀)。这些局部腐蚀所导致的失效事例几乎占失效事例的一半以上。事实上,很多失效事故是可以通过合理的选材而予以避免的。
金属的腐蚀,按机理可分为特理腐蚀、化学腐蚀与电化学腐蚀三种。生活实际、工程实际中的金属腐蚀,绝大多数都属于电化学腐蚀。
应力腐蚀开裂(SCC):是指承受应力的合金在腐蚀性环境中由于烈纹的扩展而互生失效的一种通用术语。应力腐蚀开裂具有脆性断口形貌,但它也可能发生于韧性高的材料中。发生应力腐蚀开裂的必要条件是要有拉应力(不论是残余应力还是外加应力,或者两者兼而有之)和特定的腐蚀介质存在。型纹的形成和扩展大致与拉应力方向垂直。这个导致应力腐蚀开裂的应力值,要比没有腐蚀介质存在时材料断裂所需要的应力值小得多。在微观上,穿过晶粒的裂纹称为穿晶裂纹,而沿晶界扩图的裂纹称为沿晶裂纹,当应力腐蚀开裂扩展至其一深度时(此处,承受载荷的材料断面上的应力达到它在空气中的断裂应力),则材料就按正常的裂纹(在韧性材料中,通常是通过显微缺陷的聚合)而断开。因此,由于应力腐蚀开裂而失效的零件的断面,将包含有应力腐蚀开裂的特征区域以及与已微缺陷的聚合相联系的“韧窝”区域。
点腐蚀:点腐蚀是指在金属材料表面大部分不腐蚀或腐蚀轻微而分散发生高度的局部腐蚀,常见蚀点的尺寸小于1.00mm,深度往往大于表面孔径,轻者有较浅的蚀坑,严重的甚至形成穿孔。
晶间腐蚀:晶粒间界是结晶学取向不同的晶粒间紊乱错合的界城,因而,它们是钢中各种溶质元素偏析或金属化合物(如碳化物和δ相)沉淀析出的有利区城。因此,在某些腐蚀介质中,晶粒间界可能先行被腐蚀乃是不足为奇的。这种类型的腐蚀被称为晶间腐蚀,大多数的金属和合金在特定的腐蚀介质中都可能呈现晶间腐蚀。晶间腐蚀是一种有选择性的腐蚀破坏,它与一般选择性腐蚀不同之处在于,腐蚀的局部性是显微尺度的,而宏观上不一定是局部的。
缝隙腐蚀:是指在金属构件缝隙处发生斑点状或溃疡形的宏观蚀坑,是局部腐蚀的一种形式,它可能发全于溶液停滞的缝隙之中或屏蔽的表面内。这样的缝隙可以在金属与金属或金属与非金属的接合处形成,例如,在与铆钉、螺栓、垫片、阀座、松动的表面沉积物以及海生物相接烛之处形成。
全面腐蚀:是用来描述在整个合金表面上以比较均勺的方式所发生的腐蚀现象的术语。当发生全面腐蚀时,村料由于腐蚀而逐渐变薄,甚至材料腐蚀失效。不锈钢在强酸和强碱中可能呈现全面腐蚀。全面腐蚀所引起的失效问题并不怎么令人担心,因为,这种腐蚀通常可以通过简单的浸泡试验或查阅腐蚀方面的文献资料而预测它。
均匀腐蚀:是指接触腐蚀介质的金属表面全部产生腐蚀的现象。根据不同的使用情况对耐蚀提出不同的指标要求,一般可分为两大类:
1. 不锈钢
指在大气及弱腐蚀介质中耐蚀的钢。腐蚀速率小于0.01mm/年的,认为是"完全耐蚀";腐蚀速率小于0.1mm/年的,认为是"耐蚀"的。
2. 耐蚀钢 指在各种强烈腐蚀介质中能耐蚀的钢。
二、各种不锈钢的耐腐蚀性能
304 是一种通用性的不锈钢,它广泛地用于制作要求良好综合性能(耐腐蚀和成型性)的设备和机件。
301 不锈钢在形变时呈现出明显的加工硬化现象,被用于要求较高强度的各种场合。
302 不锈钢实质上就是含碳量更高的304不锈钢的变种,通过冷轧可使其获得较高的强度。
302B 是一种含硅量较高的不锈钢,它具有较高的抗高温氧化性能。
303和303Se
是分别含有硫和硒的易切削不锈钢,用于主要要求易切削和表而光浩度高的场合。303Se不锈钢也用于制作需要热镦的机件,因为在这类条件下,这种不锈钢具有良好的可热加工性。
是碳含量较低的304不锈钢的变种,用于需要焊接的场合。较低的碳含量使得在靠近焊缝的热影响区中所析出的碳化物减至更少,而碳化物的析出可能导致不锈钢在某些环境中产生晶间腐蚀(焊接侵蚀)。
304N 是一种含氮的不锈钢,加氮是为了提高钢的强度。
305和384 不锈钢含有较高的镍,其加工硬化率低,适用于对冷成型性要求高的各种场合。
308 不锈钢用于制作焊条。
309、310、314及330
不锈钢的镍、铬含量都比较高,为的是提高钢在高温下的抗氧化性能和蠕变强度。而30S5和310S乃是309和310不锈钢的变种,所不同者只是碳含量较低,为的是使焊缝附近所析出的碳化物减至更少。330不锈钢有着特别高的抗渗碳能力和抗热震性。
316和317
型不锈钢含有铝,因而在海洋和化学工业环境中的抗点腐蚀能力大大地优于304不锈钢。其中,316型不锈钢由变种包括低碳不锈钢316L、含氮的高强度不锈钢316N以及合硫量较高的易切削不锈钢316F。
321、347及348
是分别以钛,铌加钽、铌稳定化的不锈钢,适宜作高温下使用的焊接构件。348是一种适用于核动力工业的不锈钢,对钽和钻的合量有着一定的限制。
三、不锈钢遭腐蚀的原因
更近英国科学家的一项研究表明,不锈钢里微小的硫化锰高浓度区域能导致不锈钢锈蚀。
不锈钢是铁、铬和镍的合金,更早出现在20世纪初。由于不锈钢具有优异的抗腐蚀特性,因而它常常被用在恶劣的工作环境下,或者用来制造餐具和医疗用具。
不锈钢的腐蚀速率非常之慢,在理想情况下每100万年才能腐蚀1厘米。但是在实际应用中,腐蚀往往在某处产生和扩大,更终导致整块不锈钢的腐蚀。
此前有很多理论认为不锈钢中的杂质导致了腐蚀,但是对于腐蚀发生的具体机制还不很清楚。在更新一期的英国《自然》杂志上,一个英国研究小组报告了他们对于不锈钢腐蚀过程的研究成果。他们发现不锈钢中微小的硫化锰高浓度区域是导致不锈钢腐蚀的元凶。
腐蚀发生处并不是随机的,它们总是产生在小块硫化锰周围几百纳米的区域。科学家的研究表明,在不锈钢制造过程中,硫化锰在局部产生高浓度的聚集,导致在其周围区域中铬元素浓度的降低。铬元素和氧气反应产生铬的氧化物能够起到防止腐蚀的作用。低浓度的铬区域更先产生腐蚀,然后腐蚀会逐步扩大到整块不锈钢。在含有盐的水中,这个过程会变得更加迅速。
不锈钢的特性
1.一般特性
◆ 表面美观以及使用可能性多样化
◆ 耐腐蚀性能好,比普通钢长久耐用
◆ 强度高,因而薄板使用的可能性大
◆ 耐高温氧化及强度高,因此能够抗火灾
◆ 常温加工,即容易塑性加工
◆ 因为不必表面处理,所以简便、维护简单
◆ 清洁,光洁度高
◆ 焊接性能好
2、品质特性
2-1不锈钢的品质特性
项目基本组织
代表钢种STS304 STS430 STS410
热处理 固融化热处理退火 退火后急冷
硬度性 加工硬化性微量硬化性小量硬化性
主要用途建筑物内外装饰,厨房用具,化学刻度,航空机器建筑材料,汽车零件,加用电器,厨房器具,饭盒等钎、刀机器零部件,医院用具,手术用具
耐腐蚀性高高中
强度高中高
加工性高中高
磁性非磁上磁性上磁性
焊接性高中低
2-2不锈钢的品质特性要求
用途对象产品加工工艺要求品质特性
表面质量BQ性材质形状厚度公差焊接性耐腐蚀性
浅加工类刀、叉等落料→横延→切头→成型→抛光→清洗→包装要求高不得有麻点等缺陷好一般材一般-5%不要求好
深加工类二类餐具、保温杯等落料→涂油→成型→(有时几次)切边→卷边→清洗→复底→抛光→焊手柄→包装要求高不得有划伤折痕等缺陷好DDQ要求高-3~-5%好好
PIPE装饰管等窄带→挤成压成型→对焊→打磨焊缝→切管→磨口→抛光→包装要求高不得有折痕等缺陷一般一般材好-8%好一般
厨具冷柜等的外壁落料→折边→电焊→打磨要求高不得有折痕等缺陷一般一般材一般-8%好一般
容器热水器饮水机内胆窄带→卷筒→焊接→切管→焊底→打磨焊缝→包装一般一般一般材一般-10%好一般
※各产品由于用途的不同,其加工工艺和原料的品质要求也不同。
2-3品质要求特性微细项目
(1)材质:
①DDQ(deep drawing
quality)材:是指用于深拉(冲)用途的材料,也就是大家所说的的软料,这种材料的主要特点是延伸率较高(≧53%),硬度较低(≦170%),内部晶粒等级在7.0~8.0之间,深冲性能**。目前许多生产保温瓶、锅类的企业,其产品的加工比(BLANKING
SIZE/制品直径)一般都比较高,它们的加工比分别达3.0、1.96、2.13、1.98。SUS304
DDQ用材主要就是用于这些要求较高加工比的产品,当然加工比超过2.0的产品一般都需经过几道次的拉伸才能完成。如果原料延伸方面达不到的话,在加工深拉制品时产品极易产生裂纹、拉穿的现象,影响成品合格率,当然也就加大了厂家的成本;
②一般材主要用于除了DDQ用途外的材料,这种材料的特点是延伸率相对较低(≧45%),而硬度相对较高(≦180),内部晶粒度等级在8.0~9.0间,与DDQ用材比较,它的深冲性能相对稍差,它主要用于不需伸拉就能得到的制品,象一类餐具的勺、匙、叉、电器用具、钢管用途等。但它与DDQ材相比有一个优点,就是BQ性相对较好,这主要是由于它的硬度稍高的缘故。
(2)表面品质:
不锈钢薄板是一种价格非常高的材料,客户对它的表面质量要求也非常高。但不锈薄板在生产过程中不可避免会出现各种缺陷,如划伤、麻点、折痕、污染等,从而其表面质量,象划伤、折痕等这些缺陷不管是**材还是低级都不允许出现,而麻点这种缺陷在勺、匙、叉、制作时也是决不允许的,因为抛光时很难抛掉它。我们根据表面各种缺陷出现的程度和频率,来确定其表质量等级,从而来确定产品等级。
(3)厚度公差:
一般来说不锈钢制品的不同,其要求原料厚度公差也各不相同,象二类餐具和保温杯等,厚度公差一般要求较高,为-3~5%,而一类餐具厚度公差一般要求-5%,钢管类要求-10%,宾馆用冷柜用材厚度公差要求为-8%,经销商对厚度公差的要求一般在-4%~6%间。同时产品内外销的不同也会导致客户对原料厚度公差要求的不同。一般出口产品客户的厚度公差要求较高,而内销企业对厚度公差要求相对较低(大多出于成本方面考虑),部分客户甚至要求-15%。
(4)焊接性:
产品用途的不同对焊接性能的要求也是各不相同。一类餐具对焊接性能一般不做要求,甚至包括部分锅类企业。但是绝大多数产品都需要原料焊接性能好,象二类餐具、保温杯、钢管、热水器、饮水机等。
(5)耐腐蚀性:
绝大多数不锈钢制品要求耐腐蚀性能好,象一、二类餐具、厨具、热水器、饮水机等,有些国外商人对产品还做耐腐蚀性能试验:用NACL水溶液加温到沸腾,一段时间后倒掉溶液,洗净烘干,称重量损失,来确定受腐蚀程度(注意:产品抛光时,因砂布或砂纸中含有Fe的成分,会导致测试时表面出现锈斑)
(6)抛光性能(BQ性):
目前不锈钢制品在生产时一般都经过抛光这一工序,只有少数制品如热水器、饮水机内胆等不需要抛光。因此这就要求原料的抛光性能很好。影响抛光性能的因素主要有以下几点:
①原料表面缺陷。如划伤、麻点、过酸洗等。
②原料材质问题。硬度太低,抛光时就不易抛亮(BQ性不好),而且硬度太低,在深拉伸时表面易出现桔皮现象,从而影响BQ性。硬度高的BQ性相对就好。
③经过深拉伸的制品,变形量极大的区域表面也会出小的黑点和RIDGING,从而影响BQ性。
360doc:
原文链接:优钢网 » 不锈钢牌号(316不锈钢牌号)
发表评论