不锈钢牌号(310S不锈钢用什么牌号的焊条)

310S不锈钢用什么牌号的焊条
310S不锈钢用A402焊条合适!

不锈钢牌号怎么命名的?
201 202 ?304 316 310 301 314 2520 都是
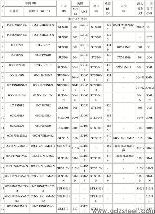
各类不锈钢的牌号分别是什么?
前面的数字“0”代表金属中的碳含量,当不锈钢中碳元素上限值小于0.1%时用0表示;“Cr”表示不锈钢中的铬元素,数字18为铬元素平均含量为18%;“Ni”表示不锈钢中镍元素,后面数字9表示镍元素的平均含量为9%。这种不锈钢有时也叫304不锈钢,是小日本与老美的通用叫法。新的国标将其修改为06Cr19Ni10,其含义基本一样,只是前面06代表含碳量为0.06%,铬元素与镍元素的含量均增加了1个百分点。

各类不锈钢的牌号分别是什么?
前面的数字“0”代表金属中的碳含量,当不锈钢中碳元素上限值小于0.1%时用0表示;“Cr”表示不锈钢中的铬元素,数字18为铬元素平均含量为18%;“Ni”表示不锈钢中镍元素,后面数字9表示镍元素的平均含量为9%。这种不锈钢有时也叫304不锈钢,是小日本与老美的通用叫法。新的国标将其修改为06Cr19Ni10,其含义基本一样,只是前面06代表含碳量为0.06%,铬元素与镍元素的含量均增加了1个百分点。
本文部分内容来源于网络,我们仅作为信息分享。本站仅提供信息存储空间服务,不拥有所有权,不承担相关法律责任。如发现本站有涉嫌抄袭侵权/违法违规的内容, 请发送邮件至 promaxsts@163.com 举报,一经查实,本站将立刻删除。
原文链接:优钢网 » 不锈钢牌号(310S不锈钢用什么牌号的焊条)
原文链接:优钢网 » 不锈钢牌号(310S不锈钢用什么牌号的焊条)
发表评论